The BESIII collaboration has founded the validity of isospin symmetry in parton fragmentation processes through measurements of single inclusive π± and K± production. The results were published in Physical Review Letters on Oct. 8, 2025 [Phys. Rev. 135, 151901 (2025)].
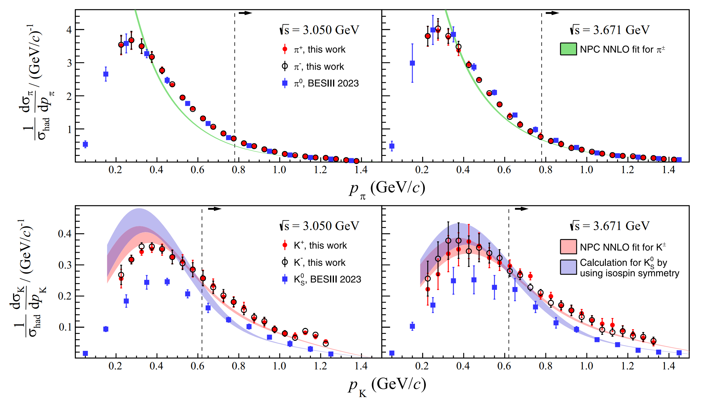
Fragmentation Functions (FFs) are essential to understand the color confinement of Quantum Chromodynamic (QCD). Using data samples corresponding to an integrated luminosity of 253pb-1 collected with the BESIII detector operating at the BEPCII collider, the differential cross-sections of inclusive π± and K± production, as a function of momentum and normalized by the total hadronic cross-section, have been measured at center-of-mass energies from 2.000 to 3.671 GeV. The measured π± cross sections are consistent with the previously reported π0 cross-sections by BESIII, while the K± cross sections are systematically higher than the KS0 cross sections by a factor of approximately 1.4.
These new results agree with state-of-the-art QCD analyses at next-to-next-to-leading order accuracy, particularly in the large hadron momentum region at energy scales down to 3 GeV. These findings support the validity of isospin symmetry in parton fragmentation processes and provide new ingredients for future FF global data fits, thereby enhancing our understanding of hadronization in the relatively low-energy region.
Journal link:https://doi.org/10.1103/5kxw-3mbw

Fig.1 Hadronization in e+e- anihilation

Fig.2 Normalized differential cross sections of e+e-→π±+X and e+e-→K±+X