The BESIII collaboration has reported “Observation of D+→ KS0π0μ+νμ, Test of Lepton Flavor Universality and First Angular Analysis of D+→K*(892)0barl+νl”. These results have been published in Physical Review Letters on October 21, 2025. [Phys. Rev. Lett. 135, 171801 (2025)].
Semileptonic decays of charmed mesons provide important opportunities for rigorously testing the standard model (SM) and probing for potential new physics. Since the establishment of the SM, CP violation and its possible extensions have remained central topics in partial physics. To address the observed natter antimatter asymmetry in the universe, various models have been proposed to identify additional sources of CP violation. To explore if the anomalies observed in semileptonic B decays, deviating from SM predictions by 2 to 3 deviations, originate from real physics effects---it is crucial to investigate whether similar effects may appear in semileptonic charm decays which involve analogous quark level transitions. The high precision measurements of branching fraction ratios, hadronic transition form factors and the full set of angular coefficients, are therefore essential to constrain the relevant new physics parameters.
In this work, we report the first observation of the decay D+→ KS0π0μ+νμ, and determine its branching fraction for the first time to be (0.896±0.017±0.008)%, while that of D+→ KS0π0e+νe is determined with improved precision to be (0.943±0.012±0.010)%. These lead to their branching fraction ratio to be 0.94±0.02±0.01, which is consistent with the SM prediction. From the analysis of the decay dynamics of D+→ KS0π0l+νl, the form factor ratios of D+→K*(892)0bar semileptonic transition are determined to be rV=1.42±0.03±0.02 and r2=0.75±0.03±0.01. We also present the first measurement of averaged angular observables and CP asymmetries in the full set of angular distributions and asymmetries in the decay rates of D+→K*(892)0barl+νl . The famous forward-backward asymmetries are measured to be AFB=(-18.7±1.4±0.5)% for D+→K*(892)0bare+νe and AFB=(-23.4±2.3±0.3)% for D+→K*(892)0barμ+νμ. The triple product asymmetries are found to be ATP=(-0.4±1.3±0.0)% for D+→K*(892)0bare+νe and ATP=(-1.9±2.0±0.3)% for D+→K*(892)0barμ+νμ. All results are consistent with SM.

Fig. 1. Projections of the data and amplitude analysis fits for the (top) μ+ and (bottom) e+ channels.

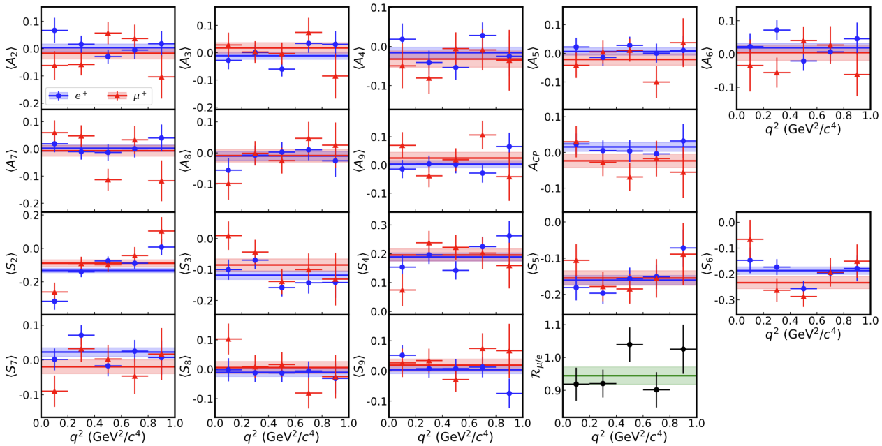
Fig. 2. Measured observables <Ai>, <Si>, Rμ/e and the CP asymmetry for D+→K*(892)0barl+νl in different q2 regions with 0.8<mK*(892)0bar<1.0 GeV2/c4. The e+ (μ+) results are shown in blue (red). The horizontal lines and shaded bands represent the mean value and 1 standard deviation across full q2 range.
Reference: Phys. Rev. Lett. 135, 171801 (2025)
Journal link: http://link.aps.org/doi/10.1103/w9vz-4fq9