DocDBHyperNewsIndico
logo
Home

Collaboration

Operations

Research

User Information

Highlights

First Measurement of the Ds⁺→K⁰μ⁺νμ Decay

2026-04-23 Author:
PrintText Size A A
The BESIII collaboration has reported the study of “First Measurement of the Ds⁺→K⁰μ⁺νμ Decay” and the first measurement for the semileptonic muonic decay in the Ds⁺→K⁰ transition was reported. The relevant results have been published in Physical Review Letters on 22 April 2026. [Phys. Rev. Lett. 136, 161802 (2026)].

In the standard model (SM), semileptonic (SL) decays of charmed mesons provide valuable information on the weak and strong interactions with hadrons composed of heavy quarks. The partial rate of the SL decay is related to the product of the hadronic form factor (FF) describing the effects of the strong interaction in the initial and final hadrons, and the Cabibbo-Kobayashi-Maskawa (CKM) matrix element |Vcd| parametrizing the mixing of quarks in the weak interaction. Therefore, the SL Ds⁺ decay both allow determination of the CKM matrix element and provide rigorous tests on various non-perturbative theoretical calculations, including Lattice QCD. In particular, the LQCD predicts that the FFs have minimum dependence on the spectator mass, with FF values in the Ds⁺→K⁰ and D⁺→π⁰ transitions differing by less than 5%. The verification of such LQCD prediction at the few percent level in SL charm decays is important for further applying such LQCD prediction to SL B decays to extract |Vub|. However, the precision of available FF measurement serving for these tests is still very limited.

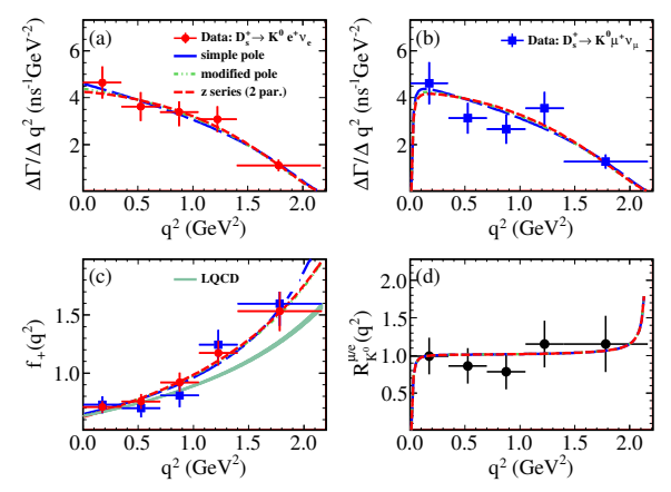
In this Letter, using 7.33/fb of e⁺e⁻ annihilation data collected between 4.128 to 4.226 GeV with the BESIII detector, we report the first experimental study of the SL decay Ds⁺→K⁰μ⁺νμ. In the analysis, the kinematic variable Umiss is reconstructed to detect the missing neutrino, and 147±14 signal events are observed in data. The branching fraction (BF) of the decay is measured for the first time to be (0.289±0.027±0.012) %. Combining the data of Ds⁺→K⁰ e⁺νe that we previously reported in Phys. Rev. D 110, 052012 (2024), we perform a simultaneous fit to the partial decay rates measured in both Ds⁺→K⁰μ⁺νμ and Ds⁺→K⁰e⁺νe decays, and fitted results are shown in Figure 1. Using the z-series expansion model to parametrize the FF, the product value f+K⁰(0)|Vcd| is measured to be 0.140±0.008±0.003. Inserting the value |Vcd|=0.22487±0.00068 obtained from CKMfitter,
we obtain f+K0(0)=0.623±0.036±0.011 at q²=0. This result is consistent in 1σ with 0.6307±0.0020 predicted by the LQCD. Furthermore, we also extract the dependence of FF on q²-distribution, and the comparisons of our measurement with various theoretical approaches are shown in Figure 2. Based on the figure, the dependence of the measured FF on q² shows roughly 2 standard deviations with that predicted by the LQCD, for the high-q² regions. Comparisons of measured FF-dependence with calculations from the theoretical models of the CLFQM, CCQM, RQM, and hQCD also show similar differences.

The lepton flavor universality (LFU) predicted by the SM is also firstly tested with Ds+→K0 transition. The relative BF ratio between Ds⁺→K⁰μ⁺νμ and Ds⁺→K⁰e⁺νe decays is measured to be Rμ/eK0 = 0.97±0.12±0.04, which is consistent with the SM prediction. Investigation of ratios of the differential decay rates between muon and positron modes in various q2 intervals also show good consistent with the LFU, as shown in Figure 2 (d). Furthermore, using f+K0(0)=0.6307±0.0020 predicted by the LQCD as input and the product value f+K0(0)|Vcd| measured in this Letter, we measure the CKM matrix element to be |Vcd|=0.222±0.013±0.005. This is the best result that measured in Ds⁺→K0 transition and the result is also in good consistent with values in literatures, as shown in Figure 3. Combing f+K0(0)|Vcd|=0.140±0.008±0.003 measured in this work and f+π(0)|Vcd|=0.1407±0.0025, we determine the ratio of the two FFs to be f+K0(0)/f+π(0)=0.995±0.061, which is consistent with the LQCD prediction that the FFs are insensitive to spectator quarks. This is the best verification that has been achieved experimentally for such prediction.

Reference: Phys. Rev. Lett. 136, 161802 (2026)
Journal link: https://link.aps.org/doi/10.1103/bk2n-lgps

Figure 1 : Fits to the partial decay rates for (a) Ds+→K0e+νe and (b) Ds+→K0μ+νμ. (c) Projection of f+(q²) measured in Ds+→K0 transition. (d) The measured Rμ/e(q²) in various q² intervals.

Figure 2 : Comparisons of f+(q²) measured in Ds+→K0 transition with various calculations.

Figure 3: (a) Comparisons of the f+(0) measured in Ds⁺→K⁰ transition in this work with various calculations. (b) Comparisons of measured |Vcd| with those in literatures.